Q:对产品做电磁兼容设计可以从哪几个方面进行?
A:电路设计(包括器件选择)、软件设计、线路板设计、屏蔽结构设计、信号线/电源线滤波设计、电路接地方式设计。
Q:在电磁兼容领域,为什么总是用分贝(dB)的单位描述?10mV是多少dBmV?
A:因为要描述的幅度和频率范围都很宽,在图形上用对数坐标更容易表示,而dB就是用对数表示时的单位,10mV是20dBmV。
Q:为什么频谱分析仪不能观测静电放电等瞬态干扰
A:因为频谱分析仪是一种窄带扫频接收机,它在某一时刻仅接收某个频率范围内的能量。而静电放电等瞬态干扰是一种脉冲干扰,其频谱范围很宽,但时间很短,因而频谱分析仪在瞬态干扰发生时只能观察到其总能量的一小部分,不能反映实际的干扰情况。
Q:在现场诊断电磁干扰问题时,往往需要使用近场探头和频谱分析仪,怎样用同轴电缆制作一个简易的近场探头?
A:将同轴电缆的外层(屏蔽层)剥开,使芯线暴露出来,将芯线绕成一个直径1~2厘米的小环(1~3匝),焊接在外层上。
Q:一台设备,原来的电磁辐射发射强度是300mV/m,加上屏蔽机箱后,辐射发射降为3mV/m,那么这个机箱的屏蔽效能是多少dB?
A:这个机箱的屏蔽效能应为40dB。
Q:设计屏蔽机箱时,应根据哪些因素选择屏蔽材料?
A:从电磁屏蔽的角度而言,主要考虑所屏蔽的电场波的种类。对于电场波、平面波或频率较高的磁场波,一般金属都可以满足要求。对于低频磁场波,要使用导磁率较高的材料。
Q:机箱的屏蔽效能除了受屏蔽材料影响以外,还受哪些因素影响?
A:受两个因素影响,一是机箱上的导电不连续点,例如孔洞、缝隙等;另一个是穿过屏蔽箱的导线,如信号电缆、电源线等。
Q:屏蔽磁场辐射源时要注意哪些问题?
A:由于磁场波的波阻抗很低,因此反射损耗很小,主要靠吸收损耗达到屏蔽目的,因而要选择导磁率较高的屏蔽材料。另外,在做结构设计时,要使屏蔽层尽量远离辐射源(以增加反射损耗),尽量避免使孔洞、缝隙等靠近辐射源。
Q:在设计屏蔽结构时,有一个原则是:尽量使机箱内的电缆远离缝隙和孔洞。这是为什么?
A:由于电缆近旁总是存在磁场,而磁场很容易从孔洞泄漏(与磁场的频率无关),因此当电缆距离缝隙和孔洞很近时,就会发生磁场泄漏,降低总体屏蔽效能。
Q:测量人体的生物磁信息是一种新的医疗诊断方法,这种生物磁的测量必须在磁场屏蔽室中进行,这个屏蔽室必须能屏蔽从静磁场到1GHz的交变电磁场。我应该怎样设计这个屏蔽室呢?
A:首先要考虑屏蔽材料的选择问题。由于要屏蔽频率很低的磁场,因此要使用高导磁率的材料,比如坡莫合金。坡莫合金经过加工后,导磁率会降低,必须进行热处理。因此,屏蔽室要做成拼装式,由板材拼装而成。事先将各块板材按照设计加工好,然后进行热处理,运输到现场,小心地安装。每块板材的结合处要重叠起来,以便形成连续的磁通路。这样构成的屏蔽室对低频磁场有较好的屏蔽效能,但缝隙会产生高频泄漏。为了弥补这个不足,需在坡莫合金屏蔽室的外层用铝板焊接成第二层屏蔽,从而屏蔽高频电磁场。
Q:什么是截止波导板(蜂窝板)?需要在什么样的场合下使用它?使用时要注意哪些问题?
A:截止波导板是由许多截止波导管组成的阵列板,用于需要较高屏蔽效能和通风量的场合,使用时要注意蜂窝板与机箱之间要使用电磁密封衬垫安装,或焊接起来。
Q:有一台塑料机壳的设备,电磁辐射超标,为了使其满足电磁兼容标准的要求,开发人员在机壳内部用导电漆喷涂,结果并没有明显改善。请分析可能会是什么原因?
A:可能原来的塑料机箱上孔洞过多、过大,产生过于严重的泄漏,也可能是缝隙不严(可能是接触不紧,也可能是在结合处没有喷导电漆),产生泄漏。另外,原来机箱上的电缆(信号线、电源线)往往没有良好的滤波措施,这些电缆可能造成机箱电磁泄漏。
Q:透明屏蔽窗有哪几种?使用时要注意什么问题?
A:有两种,一种是玻璃夹金属网构成的屏蔽窗,另一种是在玻璃上镀上很薄的金属膜构成的屏蔽窗。在使用时,要注意金属网或导电镀膜一定要与屏蔽机箱的基本导电件紧密接触。
Q:在CRT显示器的屏幕上使用带金属网夹层的屏蔽玻璃时,会有令人讨厌的条纹,怎样减轻这种现象?
A:将丝网的方向旋转一下,使纬线与显像管的扫描线之间形成15~20度夹角。
Q:电磁密封衬垫的两个关键特性是什么?列出尽可能多的电磁密封衬垫种类,并说明各种产品的适用场合。
A:电磁密封衬垫必须具备的两个特性是弹性和导电性。常用的电磁密封衬垫种类有:指形簧片、金属网衬垫、导电橡胶、导电布包裹发泡橡胶、螺旋管等。除了有切向滑动接触的场合外,应避免使用指形簧片;有环境密封要求时,应使用导电橡胶;其它场合可使用导电布衬垫,需要屏蔽的频率不高时,也可用丝网衬垫;能够确保不会过量压缩时,可使用螺旋管。
Q:使用电磁密封衬垫时要注意什么问题?
A:面板的厚度要适当,防止在衬垫的反弹力作用下发生形变,造成更大的缝隙。面板厚度较薄时,紧固螺钉需采用较小的间隔。设置限位结构,防止过量压缩。选择适当的金属材料,减小电化学腐蚀。
Q:一个屏蔽机箱上,必须要穿过一根金属杆,怎样处理才不会破坏机箱的屏蔽效能?
A:将金属杆的周围通过铍铜簧片与屏蔽基体可靠地搭接起来。
Q:电源线滤波器主要起什么作用?选型时主要考虑哪些参数?使用电源线滤波器时要注意什么问题?
A:电源线滤波器的作用是抑制传导发射电流沿着电源线传播。选型时要考虑插入损耗(共模和差模)、额定电流、电压、有效的频率范围等参数,使用时要注意安装方法,必须确保射频接地良好和输入输出隔离,防止滤波过的导线部分再次受到污染。
Q:为什么电源线滤波器的高频滤波特性十分重要?
A:如果高频滤波特性不好,会导致设备的辐射发射超标或对脉冲性干扰敏感。
Q:进行结构电磁兼容设计时,有一个原则是:经过滤波的电源线要尽量远离各种信号电缆。这是为什么?
A:如果电源线与信号电缆靠得很近,信号电缆上的高频信号会耦合到电源线上(特别是已经滤波过的部分),造成电源线上的传导发射超标。
Q:为什么选用电源线滤波器时,不能一味追求体积小巧?
A:滤波器的体积主要由滤波器电路中的电感器决定,较小的滤波器内必须使用体积较小的电感器,而较小的电感器电感量也可能较小,会导致滤波器的低频滤波性能较差。另外,滤波器的体积减小,必要让内部器件相互靠得很近,这样会降低滤波器的高频性能。
Q:什么叫滤波器的插入损耗?用什么方法测量滤波器的插入损耗可以得到最保险的结果?
A:由于滤波器接入电路而产生的电流、电压损耗叫做滤波器的插入损耗,干扰滤波器应对干扰频率的信号有尽量大的插入损耗。测量滤波器的插入损耗应采用源和负载阻抗的比值为0.1:100(或反过来)的条件来测,这时可以得到最坏条件下的结果,也就是最保险的结果。
Q:一般而言,交流线滤波器可以用在直流的场合,但是直流线滤波器绝对不能用在交流的场合,这是为什么?
A:直流线滤波器中使用的旁路电容是直流电容,用在交流条件下可能会发生过热而损坏,如果直流电容的耐压较低,还会被击穿而损坏。即使没有发生这两种情况,由于一般直流滤波器中的共模旁路电容的容量较大,因而用在交流的场合会发生过大的漏电流,违反安全标准的规定。
Q:信号线滤波器主要起什么作用?从安装方式上讲有哪些种类?怎样确定使用什么安装方式的信号线滤波器?
A:减小信号线上不必要的高频成分(主要是共模的),从而减小电缆的电磁辐射,或防止电缆作为天线接收空间电磁干扰,并传导进机箱。有线路板上安装和面板上安装两种方式,需要滤波的频率较低时,使用线路板上安装的结构;需要滤波的频率较高时,使用面板上安装的结构。
Q:某根信号线上传输的信号最高频率为30MHz,测量表明,这根导线上有120MHz的共模干扰电流,用共模辐射公式预测,只要将这个共模电流抑制30dB,就可以满足电磁兼容标准的要求,此时需要几阶的低通滤波电路?
A:按照题意,低通滤波器的截止频率为30MHz,而在120MHz的插入损耗要大于30dB。由于N阶滤波器的插入损耗增加速率为每倍频程6N(dB),30MHz至120MHz为两个倍频程,因此,N阶滤波器的截止频率若在30MHz,则在120MHz时插入损耗为程12N(dB)。若要使程12N > 30,则可取N=3,即低通滤波器的阶数至少为3。
Q:三端电容器为什么更适合于干扰滤波?
A:电磁干扰的频率往往很高,因此干扰滤波器的高频特性至关重要,三端电容器巧妙地利用一个电极上的两根引线电感构成了T型低通滤波器,而消除了传统电容器中引线电感的不良影响,提高了高频滤波特性,因此三端电容器更适合于干扰滤波。
Q:为什么说穿心电容器是干扰滤波的理想器件?
A:穿心电容器是一种三端电容器,但与普通的三端电容器相比,由于它直接安装在金属面板上,因此它的接地电感更小,几乎没有引线电感的影响。另外,它的输入输出端被金属板隔离,消除了高频耦合。这两个特点决定了穿心电容具有接近理想电容的滤波效果。
Q:电磁干扰抑制用的磁芯与传统上用做电感的磁芯有什么不同?如果两者用错,会发生什么现象?
A:传统上用做电感磁芯的材料具有很小的损耗,用这种磁芯做成的电感损耗很小。而电磁干扰抑制用的磁芯损耗很大,用这种磁芯制作的电感具有很大的损耗,其特性更接近电阻。如果两者用错,均达不到预期的目的。如果将电磁干扰抑制用的磁芯用在普通电感上,电感的Q值会很低,会使谐振电路达不到要求,或对需要传输的信号损耗过大。如果将普通制作电感用的磁芯用在电磁干扰抑制的场合,则由于电感与电路中的寄生电容会发生谐振,可能使某个频率上的干扰增强。
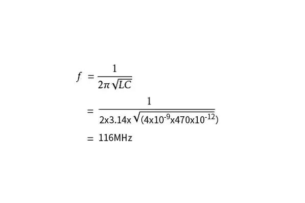
Q:若一个旁路滤波电容的容量为470pf,两根引线的长度均为2mm,这个电容在什么频率上滤波效果最好(提示:引线的电感按1nH/mm估算)?
A:当电容发生串联谐振时,其阻抗最小,具有最好的滤波效果。这个电容的谐振频率为

长沙容测电子有限公司致力于电磁兼容测试设备的研发以及电磁兼容测试技术的推广普及,全力为客户提供专业的EMC测试产品和解决方案。
我们的产品:
民用领域:静电放电发生器、脉冲群发生器、雷击浪涌测试仪、射频传导抗干扰测试系统、工频磁场发生器、脉冲磁场发生器、阻尼振荡磁场发生器、交流电压跌落发生器、振铃波发生器、共模传导抗扰度测试系统、阻尼振荡波发生器、直流电压跌落发生器等
汽车领域:静电放电发生器、7637测试系统、汽车电子可编程电源、瞬态发射开关测量、汽车线束微中断发生器、BCI大电流注入测试系统、EMI接收机、辐射抗扰度测试系统、低频磁场抗扰度测试系统、射频辐射抗扰度测试系统等
军工领域:静电放电发生器、低频传导抗扰度测试系统、尖峰脉冲发生器、电缆束注入测试系统、快速方波测试系统、高速阻尼振荡测试系统等
